随着人们生活水平的不断提高,生活方式以及饮食结构的改变,结直肠癌的发病率逐年攀升,且出现年轻化趋势。
据统计,大约有80-95%的结直肠癌是由结肠息肉演变而来,如果能在结肠息肉阶段尽早发现、及时治疗,对于预防结直肠癌至关重要。
结肠镜检查无疑是发现结肠息肉的有效方法,但该方法具有侵入性,且患者依从性差;因此,需要一种无创、便捷的方法来筛查高风险的息肉患者。

近日,广东药科大学附属第一医院消化内科何兴祥教授团队通过甲烷和氢呼气试验,在临床应用中研究发现:有结肠息肉的病人甲烷和氢呼气试验阳性率明显高于无息肉的病人,利用甲烷和氢呼气试验可以预测结肠息肉的存在。
目前,该研究成果(乳果糖呼气测试结果通过测量小肠细菌过度生长准确识别结直肠息肉的能力)已在国际胃肠肿瘤外科领域知名期刊《世界胃肠外科杂志》(世界胃肠外科杂志)上发表。

甲烷和氢呼气试验(乳果糖呼气测试,LBT)是一种测量消化道细菌的间接方法,它主要用于支持小肠细菌过度生长(Small Gut bacterial overgrowth,SIBO)的诊断,但在本研究中作为一种筛查结肠息肉的新方法。
纳入2017年~2019年382名进行LBT检测的患者,这些患者经结肠镜检查和病理检查证实是否存在大肠息肉及息肉病理性质,将其分为息肉组和非息肉组。
第一,研究结肠息肉、肠道屏障功能损伤(IBFD)与LBT之间的关系。息肉组LBT阳性率显著高于非息肉组LBT阳性率(分别为 41% vs 23%,P < 0.01 ; 71% vs 59%,P < 0.05)。且当LBT阳性时,大肠息肉患者的肠道屏障功能指标脂多糖水平显著高于无息肉患者脂多糖水平(15% vs 5%,P < 0.05),IBFD在结肠息肉患者中比无息肉患者中更容易发生。
第二,进一步研究LBT结果与息肉病理性质之间的关系。在摄入乳果糖90 min,腺瘤组和炎症/增生性息肉组患者的H峰值显著高于非息肉组(分别为P < 0.01和P = 0.03)。
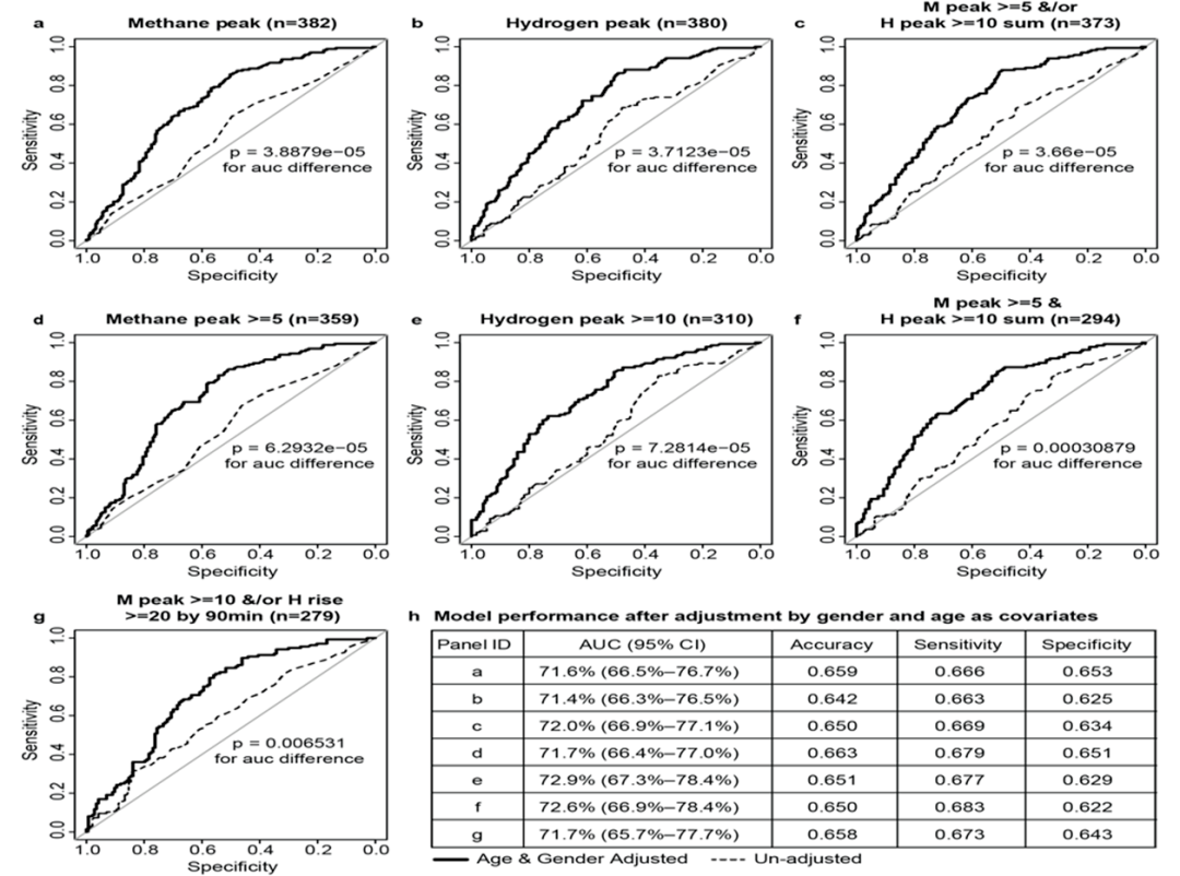
第三,研究LBT评估结肠息肉准确性。经过年龄和性别调整后,进行回归分析发现,使用普通甲烷峰值或根据北美LBT阳性共识规定的氢气和甲烷联合值的模型对大肠息肉的预测效果最好,模型的灵敏度≥0.67,特异性≥0.64,准确度≥0.66。
以上结果说明甲烷和氢呼气试验具有作为预测大肠息肉的无创筛查工具的潜力。
1、研究对象的一般情况和疾病说明
2、息肉和非息肉组之间的LBT阳性情况
3、不同病理类型(炎性/增生性息肉、腺瘤性息肉)息肉和非息肉组中甲烷和氢的峰值
4、227例LBT阳性患者的肠道屏障功能损伤率
5、调整年龄和性别后预测模型的工作特征曲线
6、预测大肠息肉模型的性能特点
正常人体代谢不产生甲烷和氢气,呼出气中的甲烷和氢气全部来自肠道菌群酵解底物(小肠内不能消化的糖,如乳果糖)过程中产生的代谢产物。其中约14~21%的气体可以通过肠黏膜经血液循环到达肺泡,通过气体交换呼出体外。甲烷和氢呼气试验,可以从呼出气中分离并测量甲烷、氢气浓度,用于诊断小肠细菌过度生长(SIBO)、乳糖不耐受(LNP)、口盲传输时间(OCTT)、胰腺外分泌功能(PEF),及结直肠癌早筛等。


杭州乐翌生物科技有限公司,旗下全资控股乐雅生物、乐为健康两家子公司,专注于呼气诊断领域前沿生物技术的研究与创新,致力于消化等多系统疾病的快速诊断与早期筛查,是集研发、生产、营销与服务为一体的综合型企业。
公司旗下自主研发Bioleya®(乐雅)呼出气体分析仪,是国内首款获批并采用国际金标准“固定式+气相色谱法”的甲烷和氢呼气检测设备。目前已广泛应用于临床,并正在形成中国专家共识,深化学科应用、规范行业标准、助力技术革新。

*注:本文部分内容来源于"广东药科大学附属第一医院"微信公众号,如有侵权请联系删除。